The Gartley Pattern Indicator is a free and popular Forex Indicator for the MetaTrader 4 (MT4) trading platform. It is designed for traders who want to identify potential trend reversals using the Gartley chart pattern, a well-known harmonic pattern in Forex trading.

This indicator is highly useful for spotting price reversal opportunities and for planning entry and exit points based on Fibonacci retracement levels and swing highs and lows.
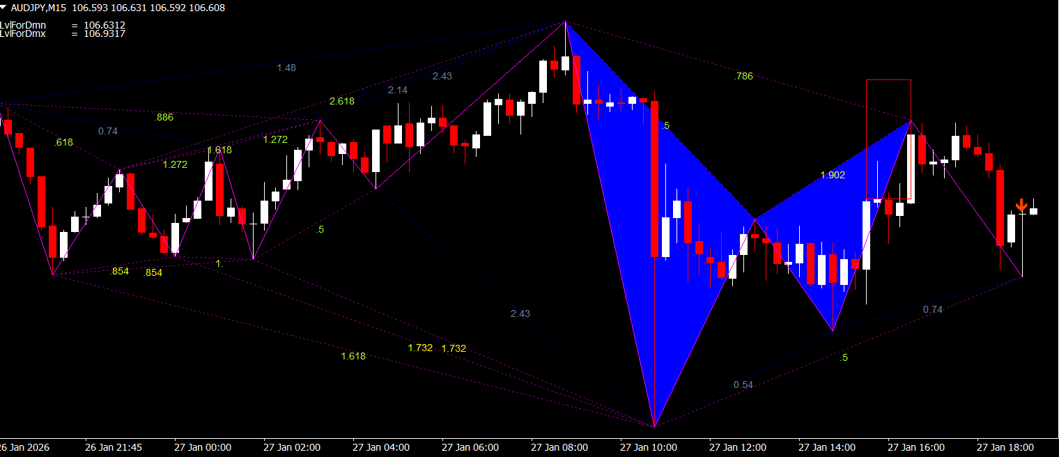
What Is the Gartley Pattern Indicator?
The indicator identifies Gartley patterns on the chart, which are specific combinations of price swings that indicate a potential reversal in the market. Gartley patterns are a type of harmonic pattern, relying on Fibonacci retracements to determine the correct structure.
How the Indicator Works
Pattern Recognition: Detects Gartley patterns by analyzing swing highs and lows.
Fibonacci Analysis: Uses Fibonacci retracement levels to confirm potential reversal zones.
Visual Alerts: Draws a rectangle on the chart to highlight the Gartley pattern.
Customizable Settings: Traders can adjust sensitivity, timeframes, and pattern detection parameters.
Easy Installation: Add the indicator to MT4, select Gartley from the indicator list, and start trading.
Key Features of the Gartley Pattern Indicator
Free MT4 Forex indicator
Detects Gartley harmonic patterns
Uses Fibonacci retracement levels for accuracy
Highlights potential Trend Reversal zones
Customizable settings for pattern detection
Visual alerts with rectangles on the chart
Works on any timeframe or currency pair
How Traders Can Use It
Identify Reversals: Spot areas where the trend is likely to reverse.
Plan Entries and Exits: Enter trades at the completion of the Gartley pattern and exit near projected targets.
Support And Resistance: Use the pattern to identify strong signal support and resistance levels.
Harmonic Trading: Combine with other harmonic patterns or indicators to improve trade accuracy.
Why the Gartley Pattern Indicator Is Useful
This indicator saves traders time by automatically identifying Gartley patterns, which can be difficult to spot manually. It provides visual cues and Fibonacci-based precision, helping traders make informed decisions and reduce guesswork in trend reversals.
Who Should Use This Indicator
Beginner and professional Forex traders
Swing traders and trend reversal specialists
Traders using harmonic pattern strategies
Traders looking to combine pattern recognition with other technical tools
Final Thoughts
The Gartley Pattern Indicator for MT4 is a reliable, free tool for traders who want to identify potential trend reversals and harmonic patterns. Its combination of automatic pattern detection, Fibonacci confirmation, and visual alerts makes it an essential tool for Forex trading.
2 Downloads
Published:
Jan 27, 2026 23:23 PM
Category: